طرح‌های انواع بدنه‌های شناورهای دریایی (بخش اول)

انواع بدنه شناورها

مقدمه‌ای بر معماری دریایی و اهمیت فرم بدنه

معماری دریایی، رشته‌ای مهندسی است که با طراحی، ساخت، نگهداری و بهره‌برداری از شناورهای دریایی سروکار دارد. در قلب این رشته، طراحی بدنه (Hull) قرار دارد که می‌توان آن را مهم‌ترین عامل تعیین‌کننده در عملکرد یک شناور دانست. بدنه، ساختار اصلی و بدنه شناور است که به صورت یک محفظه آب‌بند، شناوری لازم برای معلق ماندن روی آب را فراهم کرده و از محموله، ماشین‌آلات و فضاهای داخلی در برابر نیروهای وارده از سوی دریا محافظت می‌کند. فرم و هندسه بدنه، به طور مستقیم بر مجموعه‌ای از ویژگی‌های حیاتی شناور تأثیر می‌گذارد، از جمله پایداری، قابلیت مانور، سرعت، مصرف سوخت، ظرفیت باربری و رفتار کشتی در دریاهای مواج.

طراحی بدنه یک فرآیند پیچیده بهینه‌سازی است که در آن، مهندس معمار دریایی باید بین مجموعه‌ای از اهداف متضاد، تعادل برقرار کند. به عنوان مثال، یک بدنه باریک و کشیده ممکن است برای دستیابی به سرعت‌های بالا ایده‌آل باشد، اما این طراحی می‌تواند به قیمت کاهش پایداری اولیه و فضای داخلی تمام شود. در مقابل، یک بدنه پهن و عریض، پایداری و ظرفیت باربری فوق‌العاده‌ای را فراهم می‌کند، اما مقاومت هیدرودینامیکی بیشتری ایجاد کرده و نیازمند توان پیشرانه بالاتری برای رسیدن به سرعت‌های مشابه است. بنابراین، هیچ فرم بدنه‌ای وجود ندارد که برای تمام کاربردها “بهترین” باشد؛ بلکه هر طراحی، یک مصالحه مهندسی‌شده است که برای یک مأموریت و پروفایل عملیاتی خاص بهینه‌سازی شده است (5). درک اصول هیدرودینامیکی حاکم بر تعامل بدنه با آب، اولین گام برای فهمیدن چرایی وجود این تنوع گسترده در طراحی بدنه‌ها است.

 

۱- بدنه‌های جابه‌جایی[1]: استادان پایداری و ظرفیت

بدنه‌های جابه‌جایی، که به آنها بدنه‌های جابجایی نیز گفته می‌شود، قدیمی‌ترین و بنیادی‌ترین نوع طراحی بدنه هستند. این بدنه‌ها با شکافتن آب و کنار زدن آن، مسیر خود را باز می‌کنند؛ به عبارت دیگر، آنها درون آب حرکت می‌کنند، نه روی آن. اساس عملکرد این بدنه‌ها بر پایه اصل ارشمیدس استوار است: وزن کل شناور دقیقاً برابر با وزن آبی است که توسط بخش مغروق بدنه جابجا می‌شود. این نوع بدنه معمولاً دارای مقاطع عرضی گرد و فرمی پر (Full Form) است که به آنها اجازه می‌دهد حجم زیادی از آب را جابجا کنند و در نتیجه، ظرفیت باربری بسیار بالایی داشته باشند.

شماتیکی از بدنه های جابه‌جایی
شکل 1-1- شماتیکی از بدنه های جابه‌جایی.

 

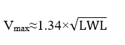
مهم‌ترین ویژگی و در عین حال محدودیت ذاتی بدنه‌های جابه‌جایی، مفهوم “سرعت بدنه[2]” است. سرعت یک شناور با بدنه جابجایی، توسط طول خط آبخور آن (LWL[3]) محدود می‌شود.6 هنگامی که شناور حرکت می‌کند، یک موج در سینه[4] و یک موج در پاشنه[5] ایجاد می‌کند. با افزایش سرعت، طول این امواج نیز افزایش می‌یابد. سرعت بدنه، نقطه‌ای است که در آن، طول موج سینه‌ای برابر با طول خط آبخور شناور می‌شود و پاشنه شناور در حفره این موج قرار می‌گیرد. در این حالت، شناور عملاً در حال بالا رفتن از موج سینه‌ای خود است و برای افزایش سرعت فراتر از این نقطه، به توانی نامتناسب و تقریباً بی‌نهایت نیاز دارد.6 به همین دلیل، افزایش قدرت موتور در این شناورها تأثیر چندانی بر افزایش سرعت نهایی آن‌ها ندارد.12

فرمول حداکثر سرعت در بدنه های جابه جایی

این محدودیت فیزیکی، بزرگترین نقطه قوت این بدنه‌ها برای مأموریت‌های خاص خودشان است. از آنجایی که آنها برای حرکت با سرعت‌هایی کمتر از سرعت بدنه طراحی شده‌اند و نیازی به تولید نیروی بالابر هیدرودینامیکی[6] ندارند، با توان پیشرانه نسبتاً کم می‌توانند وزن‌های بسیار سنگین را حمل کنند. این امر آنها را به گزینه‌ای فوق‌العاده کارآمد از نظر مصرف سوخت برای سفرهای طولانی و حمل بارهای سنگین تبدیل می‌کند. پایداری بالا، حرکت نرم و قابل پیش‌بینی در دریاهای مواج و ظرفیت حمل بار عظیم، از دیگر مزایای کلیدی این نوع بدنه است.

کاربردها: به دلیل این ویژگی‌ها، بدنه‌های جابه‌جایی در طیف وسیعی از شناورهای بزرگ و کندرو به کار می‌روند، از جمله کشتی‌های کروز، نفت‌کش‌ها، فله‌برها، کشتی‌های کانتینری، یدک‌کش‌ها، قایق‌های ماهیگیری صنعتی و قایق‌های بادبانی سنتی.

2- بدنه‌های بدنه‌های تندرو [7]: فاتحان سرعت

در نقطه مقابل بدنه‌های جابه‌جایی، بدنه‌های تندرو یا سرشی قرار دارند که برای دستیابی به سرعت‌های بسیار بالا طراحی شده‌اند. فلسفه طراحی این بدنه‌ها، غلبه بر محدودیت سرعت بدنه از طریق بلند شدن و سر خوردن روی سطح آب است.1 این پدیده که “پلنینگ[8]” نامیده می‌شود، توسط نیروی بالابر هیدرودینامیکی که در اثر حرکت سریع بدنه با فرم خاص روی آب ایجاد می‌شود، امکان‌پذیر می‌گردد.

شماتیکی از بدنه های تندرو

شکل 1-1- شماتیکی از بدنه های تندرو.

 

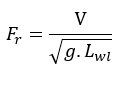
یک شناور با بدنه تندرو در سرعت‌های پایین، مانند یک شناور جابه‌جایی عمل می‌کند و آب را کنار می‌زند. اما با افزایش سرعت و رسیدن به یک “سرعت بحرانی” (معمولاً در حدود 15-16 مایل بر ساعت، بسته به طراحی و بار شناور)، نیروی بالابر هیدرودینامیکی بر نیروی شناوری غلبه کرده و بخش قابل توجهی از بدنه را از آب خارج می‌کند. این امر باعث کاهش شدید “سطح خیس شده[9]” بدنه می‌شود که نتیجه آن، کاهش چشمگیر مقاومت اصطکاکی و در نتیجه، امکان دستیابی به سرعت‌های بسیار بالاتر است. با این حال، تولید این نیروی بالابر نیازمند توان موتور بسیار بیشتری در مقایسه با بدنه‌های جابه‌جایی است. فرمول سرعت بحرانی (Transition) مرحله‌گذار از حالت جابه‌جایی به تندروی معمولاً در عدد فرود (Froude number) بین 5/2 تا 0/4 رخ می‌دهد، که به صورت زیر تعریف می‌شود:

فرمول سرعت در بدنه های تندرو

​ که در آن:

  • V = سرعت (m/s)
  • g = شتاب گرانش (m/s²)
  •  = طول خط آب (m)

این مکانیزم دستیابی به سرعت، یک مصالحه ذاتی در کیفیت حرکت در دریای مواج را نیز به همراه دارد در حالی که یک بدنه جابه‌جایی امواج را می‌شکافد و از میان آنها عبور می‌کند، یک بدنه تندرو که روی سطح آب حرکت می‌کند، با سطح امواج برخورد کرده و روی آنها می‌کوبد. این پدیده که “کوبش” (Pounding یا Slamming) نام دارد، منجر به یک سواری خشن، پر سر و صدا و نامطلوب در شرایط دریایی نامساعد می‌شود بنابراین، انتخاب بین این دو نوع بدنه، تنها یک انتخاب بین سرعت و بهره‌وری سوخت نیست، بلکه یک تصمیم اساسی در مورد شرایط دریایی مورد انتظار و سطح راحتی مطلوب است.

کاربردها: بدنه‌های تندرو انتخاب اول برای شناورهایی هستند که سرعت در آنها اولویت اصلی است. این شامل قایق‌های تندرو، شناورهای تفریحی شخصی، قایق‌های ماهیگیری ورزشی و قایق‌های تفریحی پرسرعت می‌شود.

3- بدنه‌های نیمه‌جابه‌جایی[10]: مصالحه هوشمندانه

بدنه‌های نیمه‌جابه‌جایی یا نیمه‌جابجایی، یک راه حل ترکیبی و هوشمندانه هستند که ویژگی‌های مثبت هر دو نوع بدنه جابه‌جایی و تندرو را با هم ادغام می‌کنند. این بدنه‌ها به گونه‌ای طراحی شده‌اند که بتوانند از محدودیت سرعت بدنه یک شناور جابه‌جایی خالص فراتر روند، اما بدون اینکه به طور کامل مانند یک شناور تندرو از آب خارج شوند.

از نظر هندسی، این بدنه‌ها ترکیبی از مقاطع گرد و صاف هستند. بخش‌های جلویی و زیرین بدنه معمولاً گرد طراحی می‌شوند تا پایداری و قابلیت شکافتن امواج را، مشابه بدنه‌های جابه‌جایی، فراهم کنند. اما بخش‌های انتهایی (پاشنه) بدنه، صاف‌تر هستند تا بتوانند در سرعت‌های بالاتر، مقداری نیروی بالابر هیدرودینامیکی تولید کنند(7). این طراحی به شناور اجازه می‌دهد تا در سرعت‌های پایین به صورت کارآمد و با مصرف سوخت کم (در حالت جابه‌جایی) حرکت کند، و در صورت نیاز با افزایش توان موتور، سینه خود را از آب بلند کرده و به سرعت‌های بالاتری (در حالت نیمه‌تندرو) دست یابد.

محبوبیت این نوع بدنه، نشان‌دهنده یک روند مهم در معماری دریایی مدرن است: بهینه‌سازی برای مأموریت‌های چندمنظوره. بسیاری از کاربران نیازی به عملکرد در دو انتهای طیف (سرعت بسیار کم و برد بسیار زیاد، یا سرعت بسیار زیاد و برد کم) ندارند. آنها به دنبال تطبیق‌پذیری هستند: توانایی پیمودن مسافت‌های طولانی با مصرف سوخت بهینه در سرعت 8 گره، و در عین حال، قابلیت افزایش سرعت به 15 تا 20 گره برای فرار از هوای نامساعد، بدنه نیمه‌جابه‌جایی، تجسم فیزیکی این مصالحه در الزامات عملیاتی است و با فدا کردن عملکرد حداکثری در هر یک از دو حالت، عملکردی برتر را در طیف وسیع‌تری از شرایط ارائه می‌دهد. شناورهای معروفی مانند Fleming85 و Grand Banks Eastbay 44 نمونه‌های بارز این فلسفه طراحی هستند.شماتیکی از بدنه های نیمه‌جابه‌جایی

کاربردها: این بدنه‌ها در شناورهای گشتی، قایق‌های ماهیگیری صنعتی مدرن، کروزرهای موتوری و برخی از قایق‌های تفریحی که به دنبال تعادلی بین برد، بهره‌وری و سرعت هستند، بسیار محبوب می‌باشند.

پانویس:

[1] Displacement Hulls

[2] Hull Speed

[3] Length at Waterline

[4] Bow Wave

[5] Stern Wave

[6] Hydrodynamic Lift

[7] Planing Hulls

[8] Planing

[9] Wetted Surface Area

[10] Semi-Displacement Hulls

در صورت علاقه به این متن و جزئیات بیشتر مطالعه این پست پیشنهاد می‌شود:

۷ عنصر کلیدی برای عملکرد بهینه طراحی بدنه قایق

طرح‌های انواع بدنه‌های شناورهای دریایی (بخش دوم)

شما هم دیدگاه خود را بنویسید.